2018-11-05 00:00來源:未知
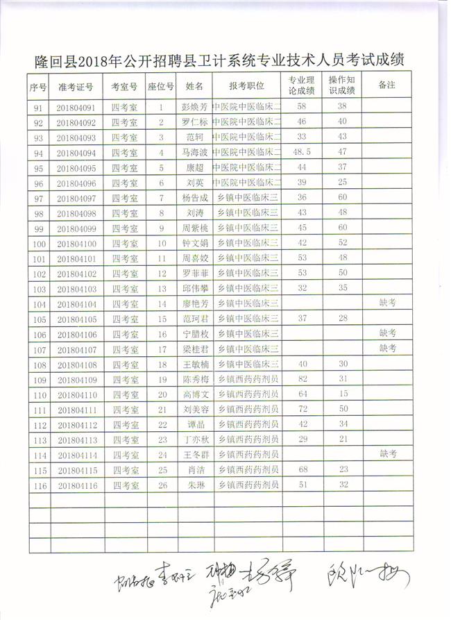
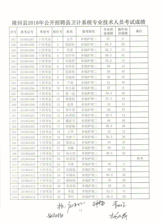
根據《隆回縣2018年公開招聘衛計系統專業技術人員公告》,現將考試成績予以公布。如考生對本人成績有異議,請持本人身份證和準考證于2018年11月7日10點前到隆回縣人力資源和社會保障局事業單位管理股(320辦公室)提出書面申請,逾期不再受理。
隆回縣人力資源和社會保障局
隆回縣衛生和計劃生育局
2018年11月5日

























COPYRIGHT ? 2018 www.lanzhiyun.net All RIGHTS RESERVED
湘ICP備16005894號 , 公安部備案號:43010202000766 技術支持:潤曉網絡