<tbody id="sichv"></tbody>
  1. <samp id="sichv"></samp>
    <tbody id="sichv"><nobr id="sichv"></nobr></tbody>
      <progress id="sichv"><bdo id="sichv"><dfn id="sichv"></dfn></bdo></progress>
      1. <tbody id="sichv"></tbody>
      2. <tbody id="sichv"></tbody>
        <b id="sichv"><ins id="sichv"><ruby id="sichv"></ruby></ins></b>
        1. <samp id="sichv"></samp>
          歡迎訪問湖南人事招考網!登錄 | 注冊

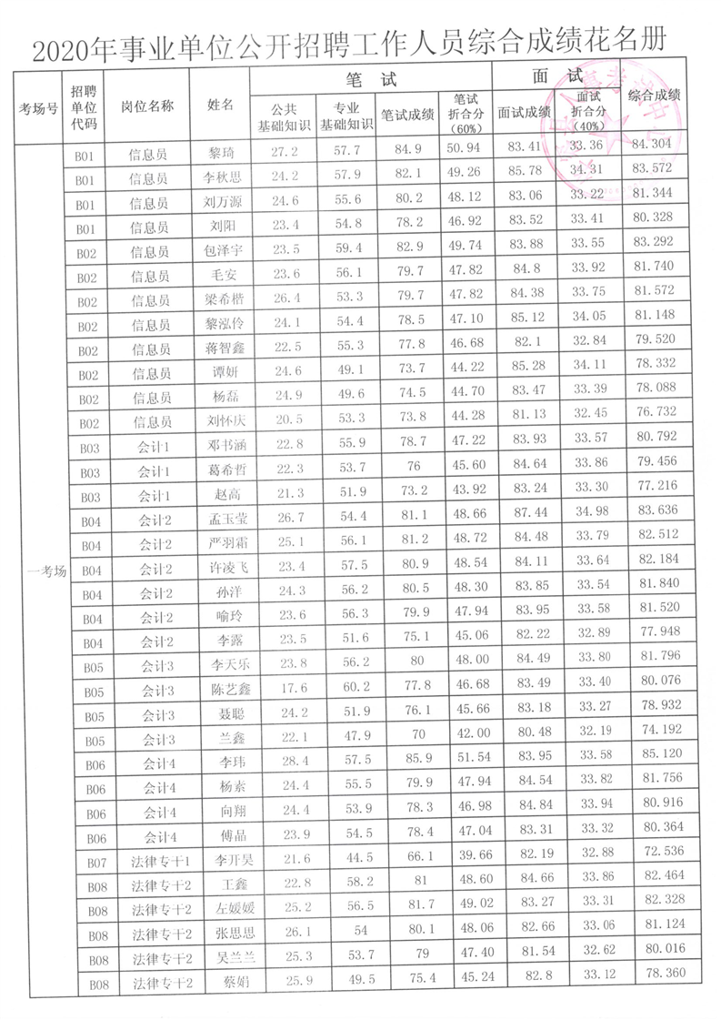
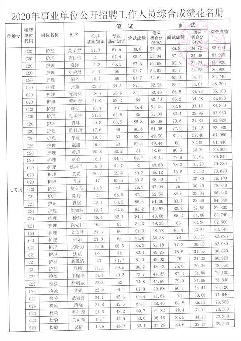
          2020年事業單位公開招聘工作人員面試最低合格分數及綜合成績公示

          2020-10-13 11:14來源:未知

          COPYRIGHT ? 2018 www.lanzhiyun.net All RIGHTS RESERVED

          公安備案號:43010202000766 湘ICP備16005894號

          投訴及意見反饋

          問題描述:
          聯系方式:
          草久久